北京时间2月15日,《自然-天文学》杂志(Nature Astronomy)发布了月球科学研究的一项重要成果。中国科学院空天信息创新研究院遥感科学国家重点实验室行星遥感团队及合作者,利用嫦娥五号月球样品的同位素年龄和着陆区撞击坑统计结果,在目前常用月球年代函数的基础上建立了新的更精确的年代函数模型,为月球和行星科学研究提供更精确的时间标尺。
在月球和行星科学研究中,确定重要地质单元和重大地质事件的年龄至关重要。早期阿波罗(Apollo)和月球(Luna)探测任务在月球表面采集了样品(图1a),并通过同位素测年方法得到了这些样品的精确年龄,它们代表了样品所在地质单元的年龄。为了将这些有限的年龄信息应用到月球全球,欧美科学家们建立了撞击坑统计定年方法,包括描述撞击坑大小-频率分布规律的产率函数和描述撞击坑归一化频率与绝对年龄关系的年代函数,前者通过遥感图像撞击坑统计分析得到,后者通过样品年龄及其所在地质单元撞击坑归一化频率得到。其中最著名和广泛应用的是德国柏林自由大学格哈特·纽库姆(Gerhard Neukum)教授建立的产率函数和年代函数,自1983年建立沿用至今。
然而,遗憾的是,Apollo和Luna采集的样品年龄在约30亿年至10亿年间有一个很大的空白区间,几乎占据了月球地质历史的一半,这也使得年代函数的可靠性一直受到质疑。因此,寻找月球表面20亿年左右地质单元的样品对验证和改进月球年代模型具有重大意义,这也成为嫦娥五号任务的科学目标之一。2020年12月1日,嫦娥五号在月球正面风暴洋北部吕姆克山、夏普月溪附近安全着陆,所返回样品的同位素测量结果表明其年龄为20.3亿年,与预期吻合很好。嫦娥五号样品年龄为月球年代函数的改进提供了一颗珍贵的“金钉子”,是嫦娥五号样品对月球科学研究的一个独特贡献。

图1. 月球着陆采样区域(a)和嫦娥五号着陆区撞击坑统计(b)
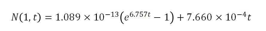
研究团队基于高分辨月球遥感影像的撞击坑统计分析结果(图1b)和撞击坑产率函数得到嫦娥五号采样点地质单元的撞击坑归一化频率(即N(1)值),与嫦娥五号样品的年龄构成建立月球年代函数模型一组新的控制数据,通过非线性最小二乘拟合算法,对Neukum (1983)年代函数进行更新,建立了新的月球年代函数模型:

并对比了新老函数的差异(图2a)。分析表明,根据新的年代函数得到的定年结果在大部分情况下更老一些,最大的差别在2亿年左右(即0.2Ga,见图2b、2c)。由于增加了嫦娥五号关键数据点,新的月球年代函数模型定年的精度优于经典的Neukum (1983)模型,可用于今后月球地质单元的定年。进一步,可根据新的月球年代函数,推演火星、水星等其他地外行星的新年代函数,提高定年精度。新月球年代函数,是一把更精确的时间标尺,将在月球和行星科学研究中发挥重要作用。

图2. 新月球年代模型及其与Neukum (1983)模型的差异。
a. 月球年代模型对比,红色实线表示新年代函数模型,黑色虚线表示Neukum (1983)模型;b. 不同撞击坑归一化频率对应的年龄差异;c. 不同地质时间对应的年龄差异
该成果得到了审稿人的高度评价。其中一位审稿人表示,“这项原创性工作具有重要意义,我想整个行星科学领域都会对这个结果感兴趣”。
论文的第一作者和通讯作者分别是行星遥感团队的岳宗玉研究员和邸凯昌研究员,论文的合作单位有中国科学院地球化学研究所和中国科学院国家天文台。该研究得到中科院、国家自然科学基金委相关项目支持。
动态新闻